近期,吃瓜网站
王取泉教授研究组与中国科学技术大学张振宇教授、深圳大学高等研究院李晓光研究员等理论与实验结合,在等离激元-激子强耦合体系的研究中取得重要新进展,揭示了杂化耦合体系中干涉效应导致的非对称Rabi谱和超快能量转移导致的非线性Fano效应,相关研究成果相继发表在权威学术期刊《Physical Review Letters》和《Nano Letters》上。
纳米金属等离激元与分子或半导体激子的强耦合导致该杂化体系呈现出许多复杂而有趣的线性和非线性光学响应特性,其中广受关注的是等离激元与激子能量转移和交换导致的Fano干涉和Rabi劈裂。近年来,得益于纳米制备技术和微观量子理论模型的丰富和发展,对这类强耦合体系的研究十分活跃。该领域的一个核心问题是,如何通过精准调控不同体系中的强耦合作用,获得更为有用的能量转化特征?
该研究团队近期先通过化学自组装方法制备了金纳米棒与近红外染料分子IR-806的强耦合体系。在该杂化体系中,由于等离激元-激子的强耦合作用,体系的消光谱上出现了由于Fano共振效应导致的吸收谷。在此Fano吸收谷附近,观测到由耦合调控的反常非线性吸收现象,即非线性吸收系数在同一频率正负值间的转变;通过时间分辨差分透射谱观测到该耦合体系中等离激元到激子的超快能量转移超快动力学过程。理论上,采用量子模型计算揭示了分子的饱和吸收是控制其非线性吸收和超快能量转移的关键。此研究成果揭示了金属和分子耦合体系的特殊非线性响应机制,为这类杂化体系在非线性纳米光学器件上的应用提供了新思路。这一研究成果以“Unusual and Tunable One-Photon Nonlinearity in Gold-Dye Plexcitonic Fano Systems”为题发表在《纳米快报》上[Nano Lett. 15, 2705 (2015)](合作作者:南凡、张亚芳、李晓光、张啸天、李杭、张新惠、江瑞斌、王建方、张伟、周利、王佳宏、王取泉*和张振宇*)。

图1. 金纳米棒-IR806杂化体系的线性消光谱和非线性吸收系数。
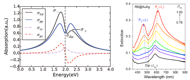
在更近的工作中,该团队基于所发展的等离激元-激子强耦合的全量子理论模型,揭示出杂化体系在零失谐情况下Rabi劈裂和Fano共振吸收光谱中所出现的高度非对称性,这种非对称性是源于等离激元与激子的杂化体系中的相干过程所引起的能量重新分配。实验上,利用物理溅射的方法制备了金银合金纳米颗粒,通过调节金银原子比和颗粒的密度保持等离激元与罗丹明分子的共振吸收,并通过改变合金纳米颗粒中银的含量实现了对等离激元共振强度的调控,揭示了杂化体系消光光谱的非对称性、以及对应于从Fano共振到Rabi劈裂的非线性吸收系数与银的含量的依赖关系。这一研究成果对强耦合体系的准确调控有着重要的指导意义,以“Strongly Asymmetric Spectroscopy in Plasmon-Exciton Hybrid Systems due to Interference-Induced Energy Repartitioning”为题发表在《物理评论快报》上[Phys. Rev. Lett. 119, 177401(2017)](合作作者:丁思静、李晓光*、南凡、钟玉婷、周利、肖旭东、王取泉*和张振宇*)。文章署名第一单位为吃瓜网站
。

图2. 左:理论上等离激元-激子杂化体系的光谱非对称性。
右:实验测量的金银合金纳米颗粒/罗丹明耦合杂化体系消光光谱与银含量的关系。
上述研究工作得到了国家重大科学研究计划和国家自然科学基金等项目的资助。
论文链接:
//dx.doi.org/10.1103/PhysRevLett.119.177401